Областная олимпиада по физике 2018, 11 класс, теоретический тур
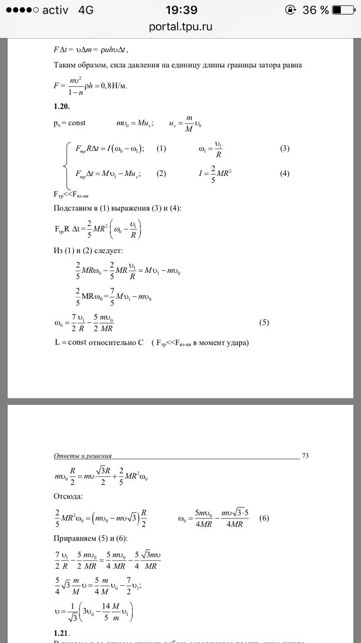
[7 баллов]. Пуля массой $m=3$ г, летящая горизонтально со скоростью $\vartheta_0=100$ м/с попадает в покоящийся на горизонтальном столе металлический шар массой $M=20$ кг и радиусом $R$ на расстоянии $\frac{R}{2}$ выше центра шара и рикошетом отскакивает от него вертикально вверх. Спустя некоторое время движение шара по столу переходит в равномерное качение со скоростью $\vartheta_1=50$ м/с. Определить скорость пули после удара по шару.
посмотреть в олимпиаде

Комментарий/решение:

Возможно, что при неправильном наборе формул, они будут
доредактированы модератором. При этом содержание не будет меняться.